| 1 |
|
DELETE |
พค11001 |
ตัวเลข 3 ข้อใดมีค่าเท่ากับ 300,000 |
2,130,455 |
1,360,120 |
1,113,640 |
1,042,300 |
2 |
| 2 |
|
DELETE |
พค11001 |
2,564,300 เขียนในรูปกระจายได้ตามข้อใด |
2,000,000 + 500,000 + 60,000 + 4,000 + 30 |
2,000,000 + 500,000 + 60,000 +400 + 30 |
2,000,000 + 500,000 + 60,000 +4,000 + 300 |
2,000,000 + 50,000 + 6,000 +400 + 30 |
3 |
| 3 |
|
DELETE |
พค11001 |
ข้อใดถูกต้อง |
1,265,433 < 1,265,422 |
2,670,367 > 2,760,637 |
1,299,466 < 1,299,446 |
3,102,372 > 3,012,382 |
4 |
| 4 |
|
DELETE |
พค11001 |
มานีมีส้ม 258 ลูก แอปเปิ้ล 468 ลูก และมะม่วง 78 ลูกรวมแล้วมานีมีผลไม้ทั้งหมดกี่ลูก |
804 ลูก |
805 ลูก |
808 ลูก |
810 ลูก |
1 |
| 5 |
|
DELETE |
พค11001 |
ข้อใดเป็นตัวประกอบของ 30 ทุกตัว  |
1, 2, 3, 4, 5 |
2, 4, 6, 8, 10 |
3, 5, 7, 9, 11 |
5, 6, 10, 15, 30  |
4 |
| 6 |
|
DELETE |
พค11001 |
จงหา ห.ร.ม.ของ 78 130 195 และ 260 |
6 |
13 |
15 |
17 |
2 |
| 7 |
|
DELETE |
พค11001 |
ก้อยมีน้ำตาล4/9ของถุง นิดมีน้ำตาล 7/9ของถุง นุชมี 5/9น้ำตาล ของถุง รุ่งมีน้ำตาล3/9ของถุง ใครมีน้ำตาล มากที่สุด  |
นิด |
รุ่ง |
นุช |
ก้อย |
1 |
| 8 |
|
DELETE |
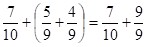
พค11001 |
จงหาผลลัพธ์ของ |
 |
 |
 |
 |
2 |
| 9 |
|
DELETE |
พค11001 |
จงหาผลคูณของ  |
 |
 |
 |
 |
4 |
| 10 |
|
DELETE |
พค11001 |
ตองมีเงิน 320 บาท ซื้อรองเท้า 2/5 ของเงินทั้งหมด ซื้อเสื้อ 5/16 ของเงินที่เหลือ จงหาว่าตองมีเงินเหลือเท่าไร |
130 บาท |
109 บาท |
132 บาท |
131 บาท |
3 |
| 11 |
|
DELETE |
พค11001 |
ข้อน้ำ 15 ลิตร แบ่งใส่ขวด ขวดละ ลิตร จะแบ่งนมได้กี่ขวด ใดเป็นตัวประกอบของ 30 ทุกตัว  |
30 ขวด  |
40 ขวด  |
50 ขวด |
60 ขวด |
4 |
| 12 |
|
DELETE |
พค11001 |
จงเรียงลำดับจำนวนเต็มจากน้อยไปหามาก -2, -8, -4, -15, -20, -7 |
-20, -15, -8, -7, -4, -2 |
-17, -8, -2, 0, 4, 16  |
4, -8, 0, -2, 16, -17 |
3, 4, 5, 7, 0.1, 0.9 |
1 |
| 13 |
|
DELETE |
พค11001 |
จงแสดงการหาผลบวกของ(-3)+(-2) ที่กำหนดให้ โดยใช้เส้นจำนวน |
 |
 |
 |
 |
1 |
| 14 |
|
DELETE |
พค11001 |
จงแสดงการหาผลบวกของ5+ (-1) |
2 |
3 |
4 |
1 |
3 |
| 15 |
|
DELETE |
พค11001 |
จงทำให้เป็นผลสำเร็จของ (-12) – 7 |
21 |
20 |
-19 |
-18 |
3 |
| 16 |
|
DELETE |
พค11001 |
จงทำให้เป็นผลสำเร็จของ (-5) – (-8) |
-3 |
2 |
-1 |
3 |
4 |
| 17 |
|
DELETE |
พค11001 |
มีขนมปังแถวหนึ่ง แบ่งออกเป็น 17 แผ่น เท่าๆ กัน แบ่ง ให้น้องไป 6 แผ่น เหลือขนมปังคิดเป็นเศษส่วนเท่าไร ของขนมปังทั้งหมด  |
 |
 |
 |
 |
|
| 18 |
|
DELETE |
พค11001 |
1.5687 เลข 6 มีค่าประจำตำแหน่งเท่าใด |
0.6  |
0.06  |
0.006 |
0.0006 |
2 |
| 19 |
|
DELETE |
พค11001 |
ร้อยละ 96 เขียนเป็นเศษส่วนได้ตามข้อใด |
 |
 |
 |
 |
1 |
| 20 |
|
DELETE |
พค11001 |
ขายทุเรียนไปร้อยละ 20 ของ 300 ลูก ขายทุเรียนไปกี่ลูก |
50 |
60 |
70 |
80 |
2 |
| 21 |
|
DELETE |
พค11001 |
ซื้อที่ดินแปลงหนึ่งราคา 400,000 บาท ขายไป 350,000 บาท ขาดทุนร้อยละเท่าไร |
5 |
7.5 |
9 |
12.5 |
4 |
| 22 |
|
DELETE |
พค11001 |
รูปสี่เหลี่ยมผืนผ้า กขคง แบ่งเป็นสี่ส่วน มีพื้นที่เป็น ตารางหน่วยตามที่กำหนดดังรูป โดยที่ จฉคซ เป็นรูปสี่เหลี่ยมจัตุรัส รูปสี่เหลี่ยม กชจญ มีพื้นที่กี่ตารางหน่วย |
44 ตารางหน่วย |
50 ตารางหน่วย  |
55 ตารางหน่วย |
60 ตารางหน่วย |
3 |
| 23 |
|
DELETE |
พค11001 |
บ้านของมาลีอยู่ทางทิศใต้ของโรงเรียน 800 เมตร บ้านของวีณาอยู่ทางทิศตะวันออกของ โรงเรียน 600 เมตร และบ้านของสาครอยู่ทางทิศใต้ ของบ้านวีณา 400 เมตร บ้านของมาลีอยู่ทางทิศใด ของ บ้านสาคร |
ทิศตะวันออก |
ทิศตะวันตก |
ทิศตะวันตกเฉียงใต้ |
ทิศตะวันออกเฉียงเหนือ |
3 |
| 24 |
|
DELETE |
พค11001 |
ถุงเท้าราคาคู่ละ 29 บาท รองเท้าราคาแพงกว่าถุง เท้า 170 บาท เข็มขัดราคาถูกกว่ารองเท้า 79 บาท  |
ถุงเท้าราคาถูกที่สุด |
รองเท้าราคาถูกที่สุด |
เข็มขัดราคาถูกกว่าถุงเท้า |
ถุงเท้าราคาแพงกว่าเข็มขัด |
1 |
| 25 |
|
DELETE |
พค11001 |
ออกจากบ้านเวลา 7.15 น. ถึงที่ทำงานเวลา 8.10 น. ใช้เวลาเดินทางเท่าไร |
30 นาที |
45 นาที |
55 นาที  |
1 ชั่วโมง |
3 |
| 26 |
|
DELETE |
พค11001 |
เชือกยาว 17.25 เมตร นำอีกเส้นหนึ่งยาว 5.2 เมตร มาผูกต่อกันทำให้เสียเชือกตรงรอยต่อ 0.15 เมตร นำเชือกที่ต่อแล้วมาวางเป็นรูปสี่เหลี่ยมผืนผ้า ให้ด้านกว้างยาวด้านละ 1.5 เมตร ด้านยาวจะยาวด้านละกี่เมตร |
9.65 เมตร |
8.05 เมตร  |
9.05 เมตร  |
8.5 เมตร |
1 |
| 27 |
|
DELETE |
พค11001 |
จงเขียนจำนวนที่แทนด้วยสัญลักษณ์ 2x2x2x2x2x2x2x2 |
256 |
234 |
266 |
255 |
1 |
| 28 |
|
DELETE |
พค11001 |
400,000 จงเขียนจำนวนนี้ในรูปสัญกรณ์วิทยาศาสตร์ |
4 x |
4 x |
4 x |
4 x |
3 |
| 29 |
|
DELETE |
พค11001 |
ดาวเสาร์อยู่ห่างจากดวงอาทิตย์ประมาณ1,430,000,000 กิโลเมตร จงเขียนให้อยู่ในรูปสัญกรณ์วิทยาศาสตร์ |
1.43 x  |
1.43 x 10 |
1.43 x  |
1.43 x  |
3 |
| 30 |
|
DELETE |
พค11001 |
สมเกียรติซื้อโลหะแผ่นชนิดหนึ่ง 3 ตารางเมตร ราคา 456 บาท สมนึกซื้อโลหะแผ่นชนิดเดียวกัน 4 ตารางหลา ราคา 567 บาท อยากทราบว่าใครซื้อได้ถูกกว่ากัน ตารางเมตรละกี่บาท (กำหนด 1 หลา = 90 เซนติเมตร) |
1.43 ตารางเมตร |
3.24 ตารางเมตร |
4.33 ตารางเมตร |
2.93 ตารางเมตร |
2 |
| 31 |
|
DELETE |
พค11001 |
สามเหลี่ยมมุมฉาก ABC มีมุม BAC เป็นมุมฉาก และกำหนดความยาวของด้านดังรูป จงหาความยาวของด้าน A |
45 หน่วย |
46 หน่วย |
47 หน่วย |
48 หน่วย |
4 |
| 32 |
|
DELETE |
พค11001 |
จงหาพื้นที่ของส่วนที่แรเงาของพื้นที่วงกลม |
45 ตารางหน่วย |
42 ตารางหน่วย |
47 ตารางหน่วย |
38.5 ตารางหน่วย |
4 |
| 33 |
|
DELETE |
พค11001 |
จงหาพื้นที่ผิวและปริมาตรของปริซึมดังรูป |
45 ตลูกบาศก์เซนติเมตร |
60 ลูกบาศก์เซนติเมตร |
47 ลูกบาศก์เซนติเมตร |
38.5 ลูกบาศก์เซนติเมตร |
2 |
| 34 |
|
DELETE |
พค11001 |
จงหาปริมาตรของทรงกระบอกใบหนึ่งที่มีรัศมีของฐาน 3.5 นิ้ว และสูง 5 นิ้ว |
192.5 ลูกบาศก์นิ้ว |
42 ตารางหน่วย |
47 ตารางหน่วย |
38.5 ตารางหน่วย |
1 |
| 35 |
|
DELETE |
พค11001 |
 |
 |
 |
 |
 |
3 |